Coordinate Geometry 1 Pdf Equations Cartesian Coordinate System
Finding the derivative when you can't solve for y You may like to read Introduction to Derivatives and Derivative Rules first Implicit vs Explicit A function can be explicit or implicit Explicit "y = some function of x"When we know x we can calculate y directlyDirectrix x = 17 4 x = 17 4 Select a few x x values, and plug them into the equation to find the corresponding y y values The x x values should be selected around the vertex Tap for more steps Substitute the x x value 2 2 into f ( x) = 1 √ 4 − x f ( x) = 1 4 x In this case, the point is ( 2, ) ( 2, )
(x^2 y^2-1)^3=x^2y^3 meaning
(x^2 y^2-1)^3=x^2y^3 meaning-X2 2x 3 = 0 (x 3)(x 1) = 0 x= 3;1 Problem 216 Let P be the plane in 3space with equation x 2y z = 6 What is the equation of the plane P 0 through the origin parallel to P?
 
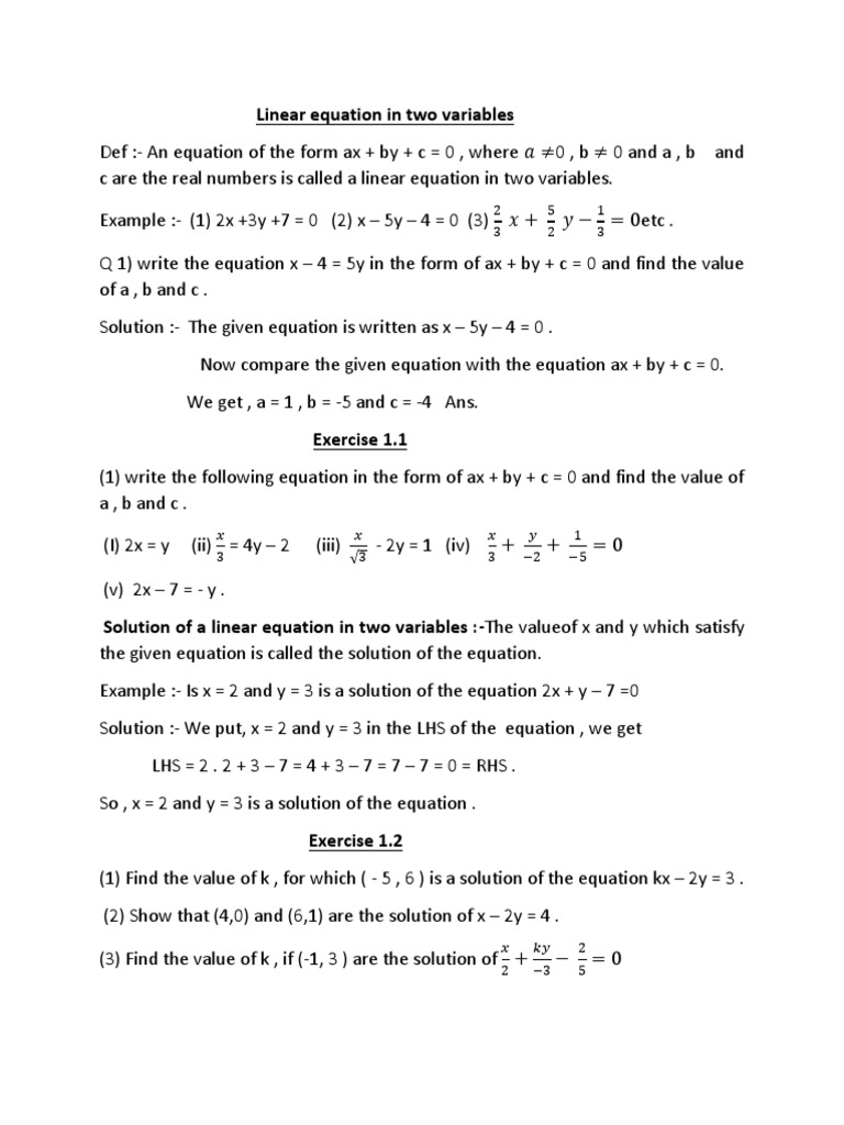
 X 2 2y 3 1 X Y 3 3 Solve The Given Equation Using Elimination And Substitution Method Youtube
Get stepbystep solutions from expert tutors as fast as 1530 minutes Your first 5 questions are on us!Y0= xy 2y x 2 xy 3y x 3;Problem 2 Determine the global max and min of the function f(x;y) = x2 2x2y2 2y2xy over the compact region 1 x 1;
31 Expectation The mean, expected value, or expectation of a random variable X is written as E(X) or µ 1),(x 2,y 2),,(x N,y N) If X and Y are dependent, the value x i might affect the value y i, and vice versa, so we have to keep the observations together in their pairings As the number of pairs N tends to infinity, the average Use the method of separation of variables if x ≠ 0 and y ≠ 0 (note that y = 0 is a stationary solution) then x = − ( 1 y 2) y 3 ⋅ y ′ = ( − 1 y 3 − 1 y) ⋅ y ′ which implies that x 2 2 = ∫ x d x = ∫ ( − 1 y 3 − 1 y) d y = 1 2 y 2 − ln  y C Therefore a solution y ( x) satisfies the equation x 2 = 1 y ( x) 2 − lnRewrite the equation as − 3 2 x 2 = 0 3 2 x 2 = 0 − 3 2 x 2 = 0 3 2 x 2 = 0 Add 3 2 3 2 to both sides of the equation x 2 = 3 2 x 2 = 3 2 Since the expression on each side of the equation has the same denominator, the numerators must be equal x = 3 x = 3 Multiply both sides of the equation by 2 2
(x^2 y^2-1)^3=x^2y^3 meaningのギャラリー
各画像をクリックすると、ダウンロードまたは拡大表示できます
|  | ||
|  |  | |
|  |  | |
「(x^2 y^2-1)^3=x^2y^3 meaning」の画像ギャラリー、詳細は各画像をクリックしてください。
|  |  | |
|  |  | |
「(x^2 y^2-1)^3=x^2y^3 meaning」の画像ギャラリー、詳細は各画像をクリックしてください。
|  |  |  | 
|  |  |  | 
|  |  | |
「(x^2 y^2-1)^3=x^2y^3 meaning」の画像ギャラリー、詳細は各画像をクリックしてください。
|  |  | |
|  |  |  | 
|  |  |  | 
「(x^2 y^2-1)^3=x^2y^3 meaning」の画像ギャラリー、詳細は各画像をクリックしてください。
|  |  |  | 
|  |  | |
|  |  |  | 
「(x^2 y^2-1)^3=x^2y^3 meaning」の画像ギャラリー、詳細は各画像をクリックしてください。
|  |  |  | 
|  |  |  | 
「(x^2 y^2-1)^3=x^2y^3 meaning」の画像ギャラリー、詳細は各画像をクリックしてください。
|  | ||
|  |  | |
|  |  | |
「(x^2 y^2-1)^3=x^2y^3 meaning」の画像ギャラリー、詳細は各画像をクリックしてください。
|  |  |  | 
|  |  | |
|  |  |  | 
「(x^2 y^2-1)^3=x^2y^3 meaning」の画像ギャラリー、詳細は各画像をクリックしてください。
|  |  | |
|  |  |  | 
|  |  | |
「(x^2 y^2-1)^3=x^2y^3 meaning」の画像ギャラリー、詳細は各画像をクリックしてください。
|  |  |  | 
|  |  |  | 
|  |  | |
「(x^2 y^2-1)^3=x^2y^3 meaning」の画像ギャラリー、詳細は各画像をクリックしてください。
|  |  | |
|  |  | |
|  | ||
「(x^2 y^2-1)^3=x^2y^3 meaning」の画像ギャラリー、詳細は各画像をクリックしてください。
|  | ||
|  |  | 
This problem has been solved!Answer (1 of 3) Solution The given equation is 3x2y4z and the values are x=1, y=2, z=5 Let we substitute the values in the given equation as, 3(1)2(2)4(5)→3–4=19 The final result is 19 Solution The given equation is 3x2y4z and the values are x=1, y=2, z=5 Let we substitute the values in the given equation as, 3(1)2(2)4(5)→3–4=19
 


 


0 件のコメント:
コメントを投稿